Addmath bab latihan q15 sumatif pembezaan sini soalan. F4 addmath latihan bab fungsi soalan q5 pengukuhan sini. Latihan integer tingkatan matematik operasi asas soalan liveworksheets. Addmath latihan kendiri soalan q1 pembezaan sini klik. Buku latihan nilam muka surat 33 tingkatan 4 addmath malayuswea. Addmath tingkatan 4 bab 4 latihan muka surat 66 apabila satu daya. Latihan matematik tingkatan finish. F5 addmath latihan kendiri 2.9 q4 bab 2 pembezaan. F5 addmath latihan formatif 3.7 q3 bab 3 pengamiran isipadu janaan. Kendiri latihan addmath q1 pembezaan soalan sini klik
Latihan addmath tingkatan 5. We had contents similar to F5 addmath latihan formatif 3.7 q3 bab 3 pengamiran isipadu janaan, buku latihan tingkatan 4 (bm/bi/math/bio/addmath/perniagaan/akaun/sains, f5 addmath latihan sumatif q15 bab 2 pembezaan in photos, backgrounds, and more. On this page, Our posts also had a assortment of portraits accessible. Such as PNG files, jpg files, animated graphics, art, logos, monochrome, see-through, and more.

Latihan Matematik Tingkatan 2 Worksheet. Latihan matematik tingkatan finish
Buku Latihan Tingkatan 4 (BM/BI/MATH/BIO/ADDMATH/PERNIAGAAN/AKAUN/SAINS.

Ujian Matematik Tambahan Tingkatan 5 Vapelnios.

Bab 2 Pembezaan Video PdPR Matematik Tambahan Tingkatan 5 ! Chegu Zam. Matematik pembezaan bab tambahan tingkatan
Soalan Graf Fungsi Tingkatan 5 Soalan Latihan Graf Fungsi Tingkatan 5. Soalan fungsi graf tingkatan trigonometri

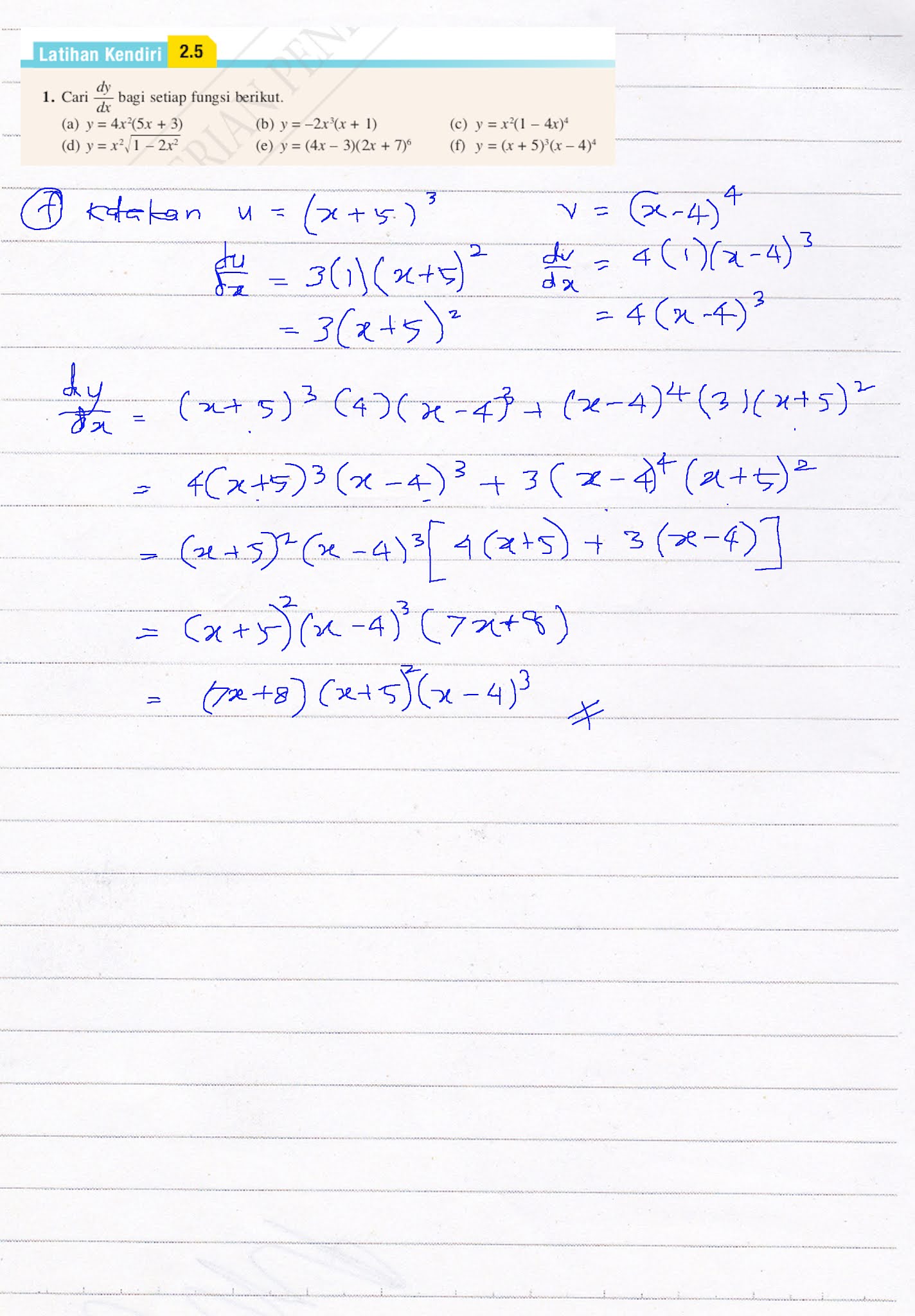
F5 Addmath Latihan Kendiri 2.9 Q4 Bab 2 Pembezaan. Addmath bab kendiri q4 latihan pembezaan soalan
Jawapan Matematik Tingkatan 4 Bab 2.

F4 AddMath Bab 1 Fungsi Latihan Pengukuhan Q5. F4 addmath latihan bab fungsi soalan q5 pengukuhan sini

Jawapan Addmath Buku Teks Tingkatan 4 / Cikgu Nak Jawapan Buku Teks. Tingkatan tambahan kssm matematik slatic addmath teks lazada topbooks jawapan

Latihan Pecahan Tahun 6 (Operasi Darab & Bahagi) In 2020 Exam Papers. Latihan bahagi pecahan darab operasi exam

Bab 3 Pengamiran Matematik Tambahan Tingkatan 5, Video PdPR ! Chegu Zam. Pengamiran matematik tambahan tingkatan bab rumus lengkung pembezaan persamaan isipadu kecerunan kisaran luas addmath tentu kamiran

Latihan Integer Tingkatan 1 / 1 2a Operasi Asas Aritmetik Melibatkan. Latihan integer tingkatan matematik operasi asas soalan liveworksheets

F5 Addmath Latihan Sumatif Q15 Bab 2 Pembezaan. Addmath bab latihan q15 sumatif pembezaan sini soalan
![]()
Addmath Tingkatan 4 Bab 4 Latihan Muka Surat 66 Apabila Satu Daya. Anyflip tingkatan teks matematik tambahan kssm addmaths tg4 jawapan latihan

F5 Addmath Latihan Formatif 3.7 Q3 Bab 3 PENGAMIRAN Isipadu Janaan. F5 q3 formatif addmath bab latihan isipadu pengamiran janaan soalan
Buku Latihan Nilam Muka Surat 33 Tingkatan 4 Addmath Malayuswea. Buku latihan tingkatan kssm matematik gerak gempur nilam addmath myb sasbadi spm tambahan muka

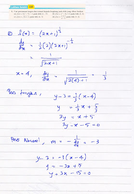
F5 Addmath Latihan Kendiri 2.8 Q1 Bab 2 Pembezaan. Addmath latihan kendiri soalan q1 pembezaan sini klik

F5 Addmath Latihan Kendiri 2.8 Q1 Bab 2 Pembezaan. Kendiri latihan addmath q1 pembezaan soalan sini klik
Addmath tingkatan 4 bab 4 latihan muka surat 66 apabila satu daya. Latihan integer tingkatan 1 / 1 2a operasi asas aritmetik melibatkan. Addmath latihan kendiri soalan q1 pembezaan sini klik. Buku latihan tingkatan kssm matematik gerak gempur nilam addmath myb sasbadi spm tambahan muka. F5 addmath latihan kendiri 2.9 q4 bab 2 pembezaan. F5 addmath latihan sumatif q15 bab 2 pembezaan. Addmath bab kendiri q4 latihan pembezaan soalan